对AEM(阴离子交换膜)电解水装置进行电化学阻抗谱(EIS)测试,能够非破坏性地获取单片电池内部电化学过程的详细信息,为电堆性能优化、故障诊断和寿命预测提供科学依据。
单片EIS测试的核心价值
1. 精准定位与诊断优势
问题精准定位:整堆EIS测试反映的是所有单片的平均行为,难以识别具体哪一片出现问题,而单片EIS测试能精确锁定性能异常的单体电池。
一致性评估:通过对电堆中多个单片进行EIS测试,可以评估电堆内部各单片的性能一致性,这是电堆性能和寿命的关键制约因素。
干扰排除:单片测试可以排除相邻单片、端板效应、流场和歧管设计等因素的干扰,更纯粹地反映该片膜电极组件本身的性能。
2. 非破坏性原位监测能力
无需拆解电堆:单片EIS测试可在电堆运行时对多个单片同时进行原位测试,无需拆解电堆,能够在不破坏电堆结构的情况下获取内部关键信息。
实时状态监测:通过定期进行单片EIS测试,可以实时监测电堆中各单片的健康状态,及时发现潜在问题。
单片EIS测试的数据分析与应用
1. 阻抗谱特征解析
欧姆阻抗(Rs):反映电解液和电极的内阻
电荷转移阻抗(Rct):反映电极/电解液界面的电化学反应动力学
传质阻抗(Zw):反映反应物供应和产物排出的效率
2. 实际应用场景
老化衰减分析:通过对比不同时间点的单片EIS数据,可以定量分析电堆各单片的衰减程度。
故障诊断:单片EIS测试可有效识别膜干、水淹、欠气、单低等故障。
工艺优化:通过分析单片EIS数据,可以优化电堆操作条件,如气体流量、温度、湿度、压力等参数。
实际测试展示
测试样品:7片装,95平方厘米,AEM电解槽

测试设备:IPS MegaEIS 30V/400A/12kW/EIS10 电化学测试站
NBT E-TS AEM-2kW 测试台

测试条件:0.2mol/L KOH,80℃,阳极单侧进样
EIS测试条件:DC 47.5A, 95A, 142.5A;10%DC振幅;10kHz-0.1Hz, 10 points/decade
EIS测试对象:整堆,第1、3、5、7片


0.5A/1A/1.5A电流密度下整堆EIS对比 0.5A电流密度下整堆与第1/3/5/7片EIS对比

0.5A电流密度下第1/3/5/7片EIS对比 1A电流密度下第1/3/5/7片EIS对比 1.5A电流密度下第1/3/5/7片EIS对比

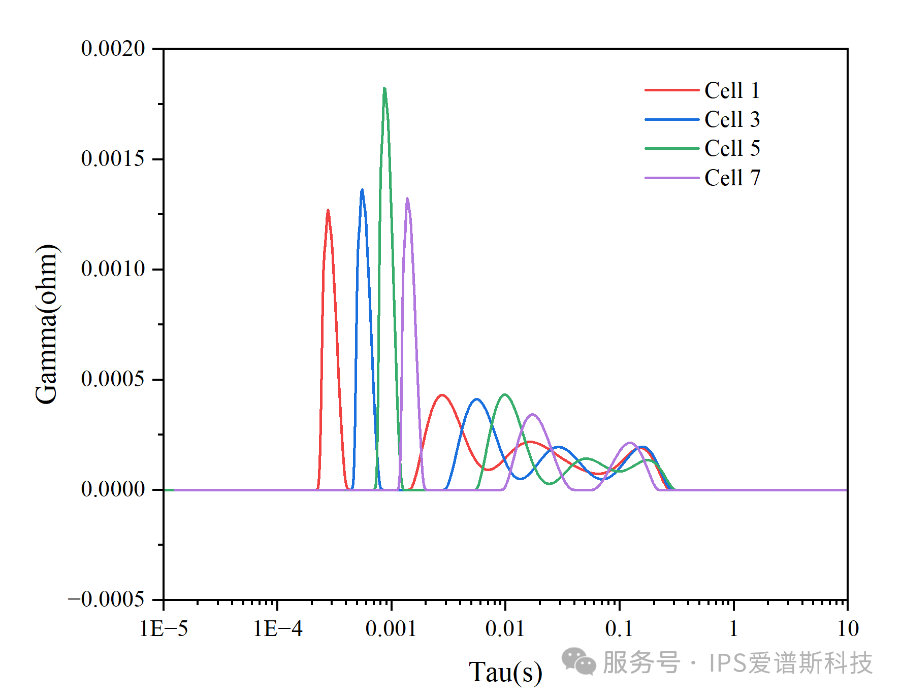
0.5A电流密度下第1/3/5/7片EIS的DRT处理对比
EIS结果表明,在不同电流密度下,单片性能从高到低排序为Cell 7、Cell 3、Cell 5和 Cell 1。通过DRT分析0.5A电流密度下的EIS结果,发现除Cell 5 HER性能最差以外,其余3片HER过程的性能几乎一样;OER性能从高到底排序为Cell 7、Cell 5、Cell 3和Cell 1, Cell 7的OER性能最佳;在传质性能上,每片性能接近;在0.5A电流密度下,传质过程对整体性能最小。

0.5A/1.5A电流密度下第1/7片EIS对比和DRT处理对比
虽然在EIS结果中,Cell 1和Cell 7在高电流密度下都表现出了更高的性能,但是性能的提升来源却不一样。从DRT结果分析可以发现,Cell 1的HER性能在1.5A电流密度下有显著的提升,这也是Cell 1在高电流密度下性能提升的主要原因;而对于Cell 7, HER性能在1.5A电流密度下变差,OER性能的提升是Cell 7在高电流密度下性能提升的主要原因;不同于EIS曲线表现,更高的电流密度,传质过程并没有带来更大的阻力,反而得到了小幅度优化;在1.5A电流密度下,传质过程仍然没有限制整体电解水性能的提升。